En
élaboration
Le
courage c'est de chercher la vérité et de la
dire ; ce n'est pas de subir la loi du mensonge triomphant
aux services d'intérêts obscurs
Jean Jaurès
Selon le réseau
Loup-Lynx, seuls 6 loup baltes ont été détectés
en France, (Flash_Info_n18_OFB_V_3_compre.ssed).
.Aucun loup
Ibérique, (les Pyrénées seraient-ils
infranchissables pour le loup ?).
Un loup balte
a été retrouvé en Catalogne...
Aucun
loup de souche Carpathian, Central Européen,
Binaric, Balkan (exept 6), Karelian, Scandinavian
alors que les comtine nous font croire que le loup (W22),
souche italo-alpine aurait raversé les Alpes.
Seules la
communication des analyses génétique réalisées
par l'OFB pourraient mettre un terme à cette polémique.

Cliquez sur cette
image pour accéder à de document

Cliquez sur cette
image pour accéder à ce document
L'open
data
et
le loup,
le loup hybride, les chien errants ?

Un document réalisé
par ONCFS, devenu OFB, l'UPAD, ANTAGENE et le Réseau Loup-Lynx
Il n'y a pas de
secret proféssionel à protéger,
dans ce document, le laboratoire ANTAGENE dévoile la méthode
utiliséé.

Cliquez sur cette
image pour accéder à ce document
|
4/ Des expertises
hors marché public, commanditées par les
préfets
En marge du
marché public contracté par lONCFS
pour les analyses courantes, les préfets peuvent
recourir à des analyses en urgence pour diagnostiquer
une situation particulière, généralement
dans les nouveaux départements concernés
par une possible présence de loups. Des échantillons
de Dordogne (n=3), Pyrénées atlantiques
(n=11), Aube (n=1) ont utilisé cette procédure.
La majorité des analyses sont restées infructueuses,
en identifiant des espèces non cibles (notamment
renard). Deux ont permis lidentification dun
loup respectivement dans lAube et dans les Pyrénées
atlantiques, tous deux de lignée italo-alpine.
Lanimal identifié dans les Pyrénées
atlantiques présentait des caractéristiques
dhybridation dhéritage ancien.
Page 11
/ LE SUIVI GENETIQUE DES LOUPS EN 2018
BILAN DE LA 1ERE ANNEE DE MISE EN OEUVRE DU NOUVEAU MARCHE
PUBLIC
|
Il a fallu saisir
la CADA

Voila 2 analyse
génétique réalisées
par le laboratoire ANTAGENE,
La première transmises par la préfecture des Pyrénées
atlantiques


Voila
le rapport d'analyse transmis par la Préfecture de la Lozère

Rapport-antagene
/ complet P48177001-U4817001, 16
pages
Rapport-antagene
/ P48177001-U4817001, 6
pages
La suite : obtenir les rapports d'analyses pour l'Aveyron, la
Lozère et l'Hérault,
toujours en nous adressons à la Préfecture.

Suivi des avis
avec le même objet :
Avis n° 20194350
du 14 mai 2020 pour la LOZERE
Avis n° 20194387
du 14 mai 2020 pour l' HERAULT.
Suivra le Gard
Une
nouvelle tentative pour obtenir toutes les analyses génétiques
pour la GARD
Elle sera adréssée
à l'ONCFS

|
...(En lespèce,
après avoir pris connaissance des observations
de l'administration, la commission comprend que les
rapports d'analyses génétiques dont l'ONCFS
est destinataire, sont présentés sous
forme d'un tableau regroupant des résultats sur
la base de données globale, conformément
à une convention passée avec un prestataire
extérieur, et que l'office ne dispose
donc pas d'un rapport pour chaque analyse soumise à
l'examen du laboratoire. Elle en déduit, en l'état
des informations dont elle dispose, que lONCFS
ne détient pas les informations sollicitées
par lintéressé.)...
|
Les données
sont communiqués sous forme de tableaux conclusifs, mais
pas de rapports d'analyses.

Cliquez sur l'image
pour accéder à ce document
Loup Flash Info
2021
Infos brutes
Suite à cet
avis, nous sollicitpns la comminication des analyses génétiques
au laboratoire Antagène

La réponse
de Monsieur le directeur par intérim
|
Ven
21/02/2020 15:03 / Bonjour M. Rutten,
Suite
au courrier que nous adresse la CADA (cf pj
courrier en date du 10 février dernier),
nous vous redisons que nous navons
pas mieux que ce que nous avons mis en ligne
: cest-à-dire un tableau avec tous
les résultats sur chaque marqueur, pour
chaque échantillon. Cf mon mail du
25/09/2019 en pj. Vous maviez déjà
téléphoné avant même
votre demande écrite, je vous avais expliqué
longuement la même chose.
Nous vous avons redit cela encore par écrit,
avec copie à la CADA. Cf le courrier
du 28/11/2019 en pj.
Notre
Direction financière vous a envoyé
les CCTP-CCAP-AE du marché danalyses
génétiques, qui expliquent que
notre prestataire doit nous rendre un tableau
exel regroupant tous les résultats, cest
celui que nous avons mis en ligne, et non pas
un rapport pour chaque analyse. Cf le courrier
du /12/2019 en pj.
Nous
publions tous nos résultats, nous ne
pouvons pas inventer des résultats qui
nexistent pas, sur le motif que vous les
souhaitez.
Bien cordialement,
GUINOT-GHESTEM
Murielle
Chef de lunité Prédateurs
Animaux déprédateurs et Exotiques
(UPADE)
Direction de la Recherche et de lAppui
scientifique (DRAS)
|
La CADA relève,
que le loup fait partie de la liste des mammifères
terrestres protégés sur lensemble du territoire
national, qui a été établie par arrêté
du 23 avril 2007, pris en application des dispositions des
articles L411-1 et suivants du code de lenvironnement.
Elle estime, dans ces conditions, que les documents demandés,
qui concerne un loup, doivent être regardés,
au sens des dispositions précitées, comme comportant
des informations environnementales, soumises au droit d'accès
prévu par larticle L124-1 du code de lenvironnement,
sous réserve de la protection des intérêts
énoncés au I de larticle L124-4 du même
code, en particulier la protection de l'environnement auquel
se rapportent ces informations.

Cliquéz sur
cette image pour accéder à ce document

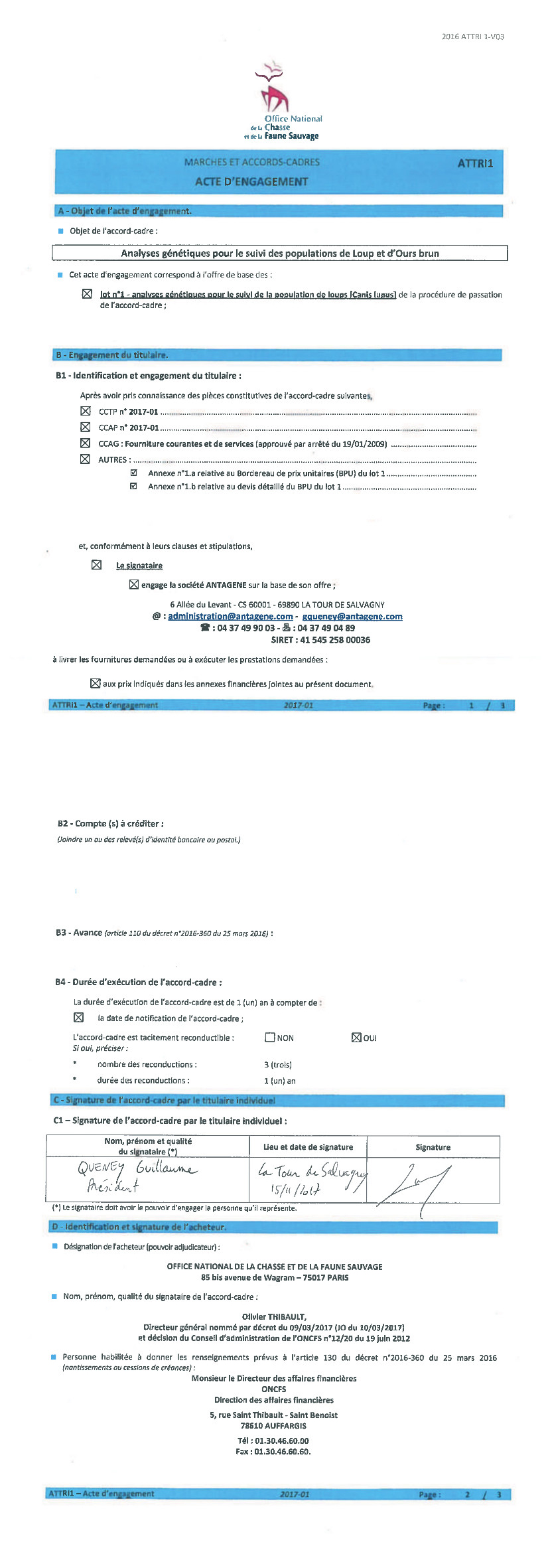
Le marché
public pour la conduite des analyses génétiques
2017


La
suite...
Tamaskan,
Husky sibérien, Esquimau canadien, Utonagan ou encore Berger
allemand, de nombreuses races de chiens affichent en effet une
ressemblance physique frappante avec le loup. Sans parler du chien-loup
américain (Wolfdog), le chien-loup tchécoslovaque
et le chien-loup de Saarlos, tous issus de croisements entre le
loup et le chien. Des études ont révélé
que la similitude génétique entre chien et loup.
Le
loup est-il un mythe ou un fantasme ?
Comment
différencier un loup hybride, un chien errant et un loup
de race pure ?
On trouve dans les cellules animales, donc
dans celles du loup, par exemple, deux types d'ADN : de
l'ADN dans le noyau de la cellule que l'on appelle l'ADN
nucléaire. Transmis par les deux parents,
il permet de reconnaître l'individu et d'identifier
son sexe. Il ne faut pas le confondre avec l'ADN
mitochondrial, qui est un tout petit fragment
d'ADN très particulier, car il est présent
à de très nombreuses copies par cellule,
ce qui le rend plus facile à étudier. Quand
on ne parvient pas à étudier de l'ADN nucléaire,
souvent, on arrive à étudier l'ADN mitochondrial.
Celui-ci permet d'identifier l'espèce et la lignée.
Ce sont donc deux caractéristiques bien différentes
/ page 30
Trois questions principales ont été
posées au laboratoire Taberlet : la première
concernait l'origine des loups du Mercantour ; la seconde
était de savoir s'il était possible d'identifier
l'espèce et la lignée à partir d'indices
collectés sur le terrain ; la troisième
était de savoir s'il était possible d'identifier
les individus et leur sexe à partir d'indices collectés
sur le terrain.
Reste toujours le problème des hybrides
potentiels : Il faut signaler que l'ADN mitochondrial
pose un problème car comme il n'est transmis que
par les femelles, si l'on a un croisement entre une louve
et un chien, l'hybride sera identifié comme étant
un loup, dès lors que sa mère est un loup.
C'est une des limites de la méthode. / page 30
Afin de dissiper ces soupçons et
que la confiance soit rétablie, il serait bienvenu,
comme cela a été plusieurs fois suggéré,
que des tests en aveugle soient pratiqués régulièrement
et que les résultats soient comparés à
ceux de laboratoires étrangers.
ASSEMBLÉE NATIONALE / RAPPORT
DU PASTORALISME DANS LES ZONES DE MONTAGNE FAIT
AU NOM DE LA COMMISSION D'ENQUETE SUR LES CONDITIONS DE
LA PRÉSENCE DU LOUP EN FRANCE ET L'EXERCICE enregistré
à la Présidence de l'Assemblée nationale
le
2 mai 2003, les conclusions faites par cette
commission perdurent.
|
Les
analyses génétiques font-elles l'objet d'une méthodologie
scientifiquement incontestable ?
Nous
avons obtenu trois analyses génétiques transmises
par l'ONCFS. Seul Forgen, à ce jour, a émis un avis
sur l'une de ces 3 analyses : " nous n'utilisons pas le
même protocole "...Est-ce que le protocole suvi par
Antagène est scientifiquement accéptable ?
Pourquoi
ne pas établir un tronc commun de démarche à
suivre ?
Pourquoi
ne pas soumettre à plusieurs laboratoires, une série
de d'échantillons, dans les mêmes conditions, et
procéder à des analyses ?
Le Plan loup, la recherche,
l'INRA, le CNRS, l'OFB, l'ONCFS, le CEFE, le CGAAER, DREAL, les
DDT et DDTM, le Ministère de l'Ecologie, le SELMET, SupAgro,
le CERPAM, et autres, se garde bien de prendre position ou de
communiquer ou se prononcer sur la génétique du
loup. Ne jouent-ils pas à un jeu pervers et dangereux ?
Une opacité
délibérée, un déni de démocratie,
les responsables administratifs de l'environnement ont choisi
le secret
L'article L124-4 du
code de l'environnement prévoit que l'autorité publique
peut rejeter une demande d'information relative à l'environnement
dont la consultation ou la communication pourrait porter atteinte
à la protection de l'environnement auquel elle se rapporte,
un tel refus de communication ne peut être opposé
qu'après avoir apprécié l'intérêt
que présenterait, à l'inverse, cette communication.
Les fonctionnaires
de l'administration française se plient à une obligation
de réserve et ne peuvent communiquer certaines informations."
Les droits et les obligations - 06/09/2013 - https://www.fonction-publique.gouv.fr/droits-et-obligations
|
Où sont la démocratie et le bon fonctionnement
de l'Etat quand une décision d'une telle importance,
qui a profondément bouleversé la vie de
plusieurs départements français, est le
fait d'une petite technostructure qui ne rend de comptes
à personne ? / page 37
Les responsables administratifs de l'environnement ont
choisi le secret face au retour annoncé du prédateur.
Ce refus d'associer les élus et les éleveurs
à un évènement qui allait les affecter
profondément explique en grande partie les difficultés
rencontrées sur ce dossier par la suite.
Une opacité délibérée est
a l'origine des difficultés rencontrées
aujourd'hui
a.- la politique du parc du Mercantour et de la direction
de la protection de la nature : un déni de démocratie
/ page 34
ASSEMBLÉE NATIONALE / RAPPORT
DU PASTORALISME DANS LES ZONES DE MONTAGNE FAIT
AU NOM DE LA COMMISSION D'ENQUETE SUR LES CONDITIONS DE
LA PRÉSENCE DU LOUP EN FRANCE ET L'EXERCICE enregistré
à la Présidence de l'Assemblée nationale
le
2 mai 2003, les conclusions faites par cette
commission perdurent.
|
Ne font-ils
pas un boulevard aux hypothèses les plus improbables et
insensées ?
Les communications
faites par les services de l'Etat, (Dreal ,MTES, MAA, MNHN, ONCFS,
OFB, DRAAF, DDTs, DDTMs) sont-elles tendancieuses et emprise d'un
parti pris.
Malgré
5 avis de la CADA, n°202184452, n°20190909, n°20194350,
n° 20191672, n°20194383, la communication de l'OFB ou
ONCFS ne permet pas de donner une réponse claire sur l'origine
génétique des loups en France.
La Loi est-elle respectée ?
Et si
cette manipulation n'était pas un aveu : le loup est-il
vraiment un loup ou comme certains prétendent un chien
hérrant, ou une hyène, comme il était communément
désigné, avant d'avoir été exterminé
avant les années 1950 ?
Nous
exigeons la tranparence sur les communication relative au loup,
en particulier sur la génétique du loup.
Depuis 2018, l'Association
Causses-Cévennes d'action citoyenne a sollicité
à la communication, à Monsieur Directeur général
de lONCFS, dans le respect du Code de lEnvironnement,
(article L.124-1, L124-2 et L124-3), et des Lois en vigueur :
- Les résultats
des analyse génétique réalisée à
la demande des services de l'état présentées
sous une forme didactique.
- Les comptes administratifs
et les comptes de gestion du Plan Loup et Dreal ,MTES, MAA,
MNHN, ONCFS, OFB, DRAAF, DDTs, DDTMs.
L'ONCFS,
Dreal, le Ministère de la transition écologique
et solidaire, le Ministère de l'Agriculture, le Ministère
de la Transition Ecologique et du Développement Durable,
l'Office Français de la Biodiversité, Le MNHN, le
Préfet de région Auvergne Rhône Alpes, les
DDTs et DDTMs respectent-ils les Avis de la CADA
n°20184452,
n°20190909, n°20194350, n° 20191672, n°20194383
en continuation.
|
Bonjour M.
Rutten,
Suite au courrier
que nous adresse la CADA (cf pj courrier en date du 10
février dernier), nous vous redisons que nous navons
pas mieux que ce que nous avons mis en ligne : cest-à-dire
un tableau avec tous les résultats sur chaque marqueur,
pour chaque échantillon. Cf mon mail du 25/09/2019
en pj. Vous maviez déjà téléphoné
avant même votre demande écrite, je vous
avais expliqué longuement la même chose.
Nous vous avons
redit cela encore par écrit, avec copie à
la CADA. Cf le courrier du 28/11/2019 en pj.
Notre Direction
financière vous a envoyé les CCTP-CCAP-AE
du marché danalyses génétiques,
qui expliquent que notre prestataire doit nous rendre
un tableau exel regroupant tous les résultats,
cest celui que nous avons mis en ligne, et non pas
un rapport pour chaque analyse. Cf le courrier du /12/2019
en pj.
Nous publions
tous nos résultats, nous ne pouvons pas inventer
des résultats qui nexistent pas, sur le motif
que vous les souhaitez.
Bien cordialement,
vendredi 21
février 2020
GUINOT-GHESTEM
Murielle
Chef de lunité Prédateurs Animaux
déprédateurs et Exotiques (UPADE)
Direction de la Recherche et de lAppui scientifique
(DRAS)
|
|
Extrait
de l'Avis n° 20194904 du 02 avril 2020
ladministration
détient de telles informations, figurant ou non
sur un document existant, elles sont communicables à
toute personne qui en fait la demande en application de
larticle L124-3 de ce code, ce dernier nimposant
aucune exigence de formalisation préalable de l'information
demandée, et quil appartient alors à
ladministration, saisie dune demande en ce
sens, délaborer un document comportant les
informations sollicitées.
En lespèce,
après avoir pris connaissance des observations
de l'administration, la commission comprend que les
rapports d'analyses génétiques dont l'ONCFS
est destinataire, sont présentés sous forme
d'un tableau regroupant des résultats sur la base
de données globale, conformément à
une convention passée avec un prestataire extérieur,
et que l'office ne dispose donc pas d'un rapport pour
chaque analyse soumiseà l'examen du laboratoire.
Elle en déduit, en l'état des informations
dont elle dispose, que lONCFS ne détient
pas les informations sollicitées par lintéressé.
|


La
CADA relève, que le loup fait partie de la liste des
mammifères terrestres protégés sur lensemble
du territoire national, qui a été établie
par arrêté du 23 avril 2007, pris en application
des dispositions des articles L411-1 et suivants du code de
lenvironnement. Elle estime, dans ces conditions, que
les documents demandés, qui concerne un loup, doivent
être regardés, au sens des dispositions précitées,
comme comportant des informations environnementales, soumises
au droit d'accès prévu par larticle L124-1
du code de lenvironnement, sous réserve de la
protection des intérêts énoncés
au I de larticle L124-4 du même code, en particulier
la protection de l'environnement auquel se rapportent ces
informations.
|
PUBLICATION DES DONNEES
Les données brutes sont communiquées
en P. J.* de ce rapport. Celles-ci ne sont utilisables
quavec laccord préalable des
auteurs et ne peuvent être détachées
de leur contexte danalyse et de production,
détaillé ici. Les indices qualité
associés aux génotypages sont notamment
des clés de lecture importantes pour asseoir
les interprétations.
Si les litiges ne peuvent être
réglés à lamiable, la
juridiction compétente sera celle du ressort
dappartenance du siège du pouvoir adjudicateur
contractant :
Tribunal administratif de Paris
7 rue de Jouy - 75 181 Paris
Tél. :01-44-59-44-00 / Fax : 01-44-59-46-46
Courriel : greffe.ta-paris@juradm.fr
|
Voila
ce que l'on appéle les résultats bruts ou les résltats
conclusifs

Cliquez
sur l'image pour accéder aux PDF et aux infos-bulles
Mercredi 25 septembre 2019 13:11
Bonjour M. Rutten,
Vous trouverez
les résultats bruts ici :
https://www.loupfrance.fr/faible-taux-hybridation-retrospective-10-ans/
Cliquer
en bas de page sur "rapport", télécharger
ce rapport, l'ouvrir dans votre lecteur de .pdf, aller
p. 15, et comme indiqué en bas de page, cliquer
sur Affichage > Afficher / Masquer > Volets du navigateur
> Pièces jointes.
Vous trouverez alors toutes nos données brutes.
Les échantillons identifiés "Lettre30..."
sont du Gard. La lettre vous informe sur la nature de
l'échantillon (F pour fécès, D pour
dépouille, U
pour urine, S pour sang). Le numéro de session
vous indique l'année de la session génétique.
Nous avons joint ainsi les résultats bruts à
notre rapport pour nous assurer que le lecteur de ces
résultats bruts en prendra connaissance en ayant
lu notre rapport. En effet, celui-ci explique les précisions,
détails et limites afférents à ce
type de données.En espérant avoir répondu
à votre demande,
LE-SUIVI-GENETIQUE-DES-LOUPS-EN-2018_201903(16)
________________________________________________________________________________________________________
Suivrons une
série de demandes d'informations complèmentaires
1246 échantillons ont été analysés
...
Nous aimerions pouvoir avoir les informations pour pouvoir
interpréter correctement la ligne en bleu en tête
des colonnes, voir la pièce jointe
Je suis sur que vous savez ce à quoi je me réfère
J'espère une réponse, je crois avoir été
patient.
_______________________________________________________________________________________________
GUINOT-GHESTEM Murielle <murielle.guinot-ghestem@ofb.gouv.fr>
Ven 21/08/2020 07:42
Bonjour M. Rutten,
Je n'ai rien à dire sur ces marqueurs. Ce sont
simplement le nom des marqueurs. Ils ont été
choisis par le prestataire, sur différents critères
(reprise des marqueurs historiques, choix de marqueurs
non redondants, choix de marqueurs discriminants pour
l'espèce loup, pour l'identification d'individus
et pour la mise en évidence d'hybridation, choix
techniques pour que les marqueurs réagissent de
façon indépendante et pour optimiser le
nombre de plaques d'analyses
)
Je vous ai explicité les deux Améloméline
car ces deux-là sont spécifiques pour identifier
le sexe. Les autres ne sont pas forcément spécifiques
de traits morphologiques, anatomiques, etc. C'est leur
combinaison globale qui renseigne le résultat de
l'analyse (combinaison de probabilités d'apparition
d'allèles sur chaque marqueur).
Cordialement,
_______________________________________________________________________________________________
Avant de quiter votre poste,
Merci de complèter avec des post-it ou info bulles
pour les 22 marqueurs, les 4 derniers de la page 1 et
jusqu'au 22, page 8
_______________________________________________________________________________________________
Vous les avez à la suite.
Par ex la feuille 8 est la suite de la feuille 1.
A+
_______________________________________________________________________________________________
Merci pour cette réponse. Vous écrivez :
Tous les autres marqueurs à la suite (22 en tout.
Donc 22 colonnes. Vous n'avez pas toutes les colonnes
sur cette feuille). Merci de m'envoyer les documents intégraux
des 1246 échantillons ont été analysés
_______________________________________________________________________________________________
Voilà je crois que tout y est.
Si questions, le mieux est qu'on vous explique à
l'oral. Vous pouvez appeler Nolwenn Drouet-Hoguet (ou
solliciter un RDV par écrit au DG OFB, c'est mieux
car ainsi on garde trace), cheffe d'équipe Loup-Lynx
dans mon unité.
D'autant que je quitte mon poste au 1er septembre.
A bientôt,
GUINOT-GHESTEM
Murielle
Chef de l'unité Prédateurs Animaux déprédateurs
et Exotiques (UPADE)
Direction de la Recherche et de l'Appui scientifique (DRAS)
|

Cliquez sur l'image
pour accéder aux PDF et aux infos-bulles
Nous n'avons aucune
informations sur les allèles N° 02-AHT111, 03-AHTk211,
04-FH2096, 05-CPH02, 06-FH2088, 07-C09.173, 08-CPH05, 09-FH2004,
10-CFX30371, 11-CXX279, 12-C09.250, 13-FH2161, 14-FH2140, 15-INU030,
16-FH2137, 17-FH2054, 18-C27.442, 19-Dbar1, 20- REN162C04, 21-PEZ17,
22-FH2010
Pourquoi ?
Demande de
communication de documents administratifs


|
Ven 21/02/2020
15:03 / Bonjour M. Rutten,
Suite au
courrier que nous adresse la CADA (cf pj courrier
en date du 10 février dernier), nous vous redisons
que nous navons pas mieux que ce que nous avons
mis en ligne : cest-à-dire un tableau
avec tous les résultats sur chaque marqueur,
pour chaque échantillon. Cf mon mail du 25/09/2019
en pj. Vous maviez déjà téléphoné
avant même votre demande écrite, je vous
avais expliqué longuement la même chose.
Nous vous
avons redit cela encore par écrit, avec copie
à la CADA. Cf le courrier du 28/11/2019 en
pj.
Notre Direction
financière vous a envoyé les CCTP-CCAP-AE
du marché danalyses génétiques,
qui expliquent que notre prestataire doit nous rendre
un tableau exel regroupant tous les résultats,
cest celui que nous avons mis en ligne, et non
pas un rapport pour chaque analyse. Cf le courrier
du /12/2019 en pj.
Nous publions
tous nos résultats, nous ne pouvons pas inventer
des résultats qui nexistent pas, sur
le motif que vous les souhaitez.
Bien cordialement,
GUINOT-GHESTEM
Murielle
Chef de lunité Prédateurs Animaux
déprédateurs et Exotiques (UPADE)
Direction de la Recherche et de lAppui scientifique
(DRAS)
|

1 avis et 2 conseils
donnés en référence dans le courrier adressé
à la CADA daté du 13 février 2020
Le marché
public pour la conduite des analyses génétiques
2017


La
suite...
La
suite...

La
suite...

La
suite...
La
CADA relève, que le loup fait partie de la liste
des mammifères terrestres protégés
sur lensemble du territoire national, qui a été
établie par arrêté du 23 avril 2007,
pris en application des dispositions des articles L411-1
et suivants du code de lenvironnement. Elle estime,
dans ces conditions, que les documents demandés,
qui concerne un loup, doivent être regardés,
au sens des dispositions précitées, comme
comportant des informations environnementales, soumises
au droit d'accès prévu par larticle
L124-1 du code de lenvironnement, sous réserve
de la protection des intérêts énoncés
au I de larticle L124-4 du même code, en particulier
la protection de l'environnement auquel se rapportent ces
informations.



Le
document complèt...
Communiqué
de presse - 13 septembre 2017 - (Pdf 68Ko)
Note
technique - 13 septembre 2017 - Lhybridation entre
chien et loup en France - (Pdf 87Ko)
Rapport
d analyses génétiques chez le Loup (Canis
lupus) - ANTAGENE - (Pdf - 304Ko)
Note
- Loup hybride : éléments de réponse
suite à la conférence du 22 novembre 2017
Diffusion
des indices de présence collectés
par le réseau
Dans
ce rapport : LE SUIVI GENETIQUE DES LOUPS EN 2018,
BILAN DE LA 1ERE ANNEE DE MISE EN OEUVRE DU NOUVEAU
MARCHE PUBLIC, (diffusé en Avril 2019), en
regardant attentivement les annexes, (suivre les
idication en bas de page 15) et en accédant
au Numéro de Flash
Info Avril 2019,
.jpg)
L'intégralité
de ce document, département par départements...tout
le territoire, tout le pays.
tout
est là, plus de 1246 (?) fiches d'indices
de présence, département par département,
et autant d'analyses génétiques du
loup collectés par le réseau, pour
toute la France, (suite à la publication
de l'avis de la CADA du 18 avril 2019). analyses
génétiques.
|
1246
échantillons ont été analysés
parmi lesquels 486 reprofilages danimaux déjà
connus (passerelles) et 760 nouveaux échantillons
lors des sessions courantes,
en voici
un extrait...
Cliquez
sur l'image pour accéder à ce document
La transparence
n'est toujours pas au rendez-vous !
Malgré limportance et la reconnaissance juridique
du droit à linformation en matière environnementale,
nos multiples relances auprès de lO.N.C.F.S. pour
obtenir des renseignements complets et utilisables sur les caractéristiques
génétiques des loups en France, sont restées
vaines.
Pour pallier à ce manque de transparence entretenu depuis
des années par les autorités publiques, et lO.N.C.F.S.
Eleveurs et élus ont dû, par leurs propres moyens,
et en dépit des pressions exercées pour les en
dissuader, recourir à des prélèvements
sur les animaux domestiques tués ou blessés lors
des attaques (ovins, bovins, équidés, camélidés,...),mais
aussi sur des loups abattus légalement.

Lisez
l'intégralité du document...
Les analyses
génétiques



En savoir plus sur
le loup

Accéder à
cette thése, cliquez sur cette image
.jpg)
cliquez sur cette
image
Association
Causses-Cévennes d'action citoyenne
Avenue du Devois, Le Devois, Saint Sauveur Camprieu, 30750,
tel 0770008166.
Site internet : http://www.accac.eu
Email: adhca@live.fr
|
|